What Is Abstract Syntax Tree


Interpreting Abstract Syntax Trees

Interpreting Abstract Syntax Trees

Https Encrypted Tbn0 Gstatic Com Images Q Tbn 3aand9gcrljj Yfuoqpupec Jvj Sdfzfk W7202yfjqehadjkio1ii2cr Usqp Cau

Https Encrypted Tbn0 Gstatic Com Images Q Tbn 3aand9gcrljj Yfuoqpupec Jvj Sdfzfk W7202yfjqehadjkio1ii2cr Usqp Cau

How Arel Converts Ruby Queries Into Sql Statements Pat Shaughnessy

How Arel Converts Ruby Queries Into Sql Statements Pat Shaughnessy

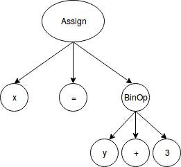
Syntax Trees Abstract Syntax Trees Gate Vidyalay

Syntax Trees Abstract Syntax Trees Gate Vidyalay

What Is The Difference Between An Abstract Syntax Tree And A

What Is The Difference Between An Abstract Syntax Tree And A