Statistical Abstract Of Punjab


Punjab Map Vector Stock Illustration Download Image Now Istock

Punjab Map Vector Stock Illustration Download Image Now Istock

Statistical Abstract Of Punjab Google Books

Statistical Abstract Of Punjab Google Books

Sustainable Industrial Development In Punjab Pakistan

Sustainable Industrial Development In Punjab Pakistan

Economic And Environmental Evaluation Of Rice Straw Processing

Economic And Environmental Evaluation Of Rice Straw Processing

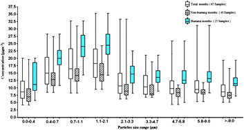
Study Of Size And Mass Distribution Of Particulate Matter Due To

Study Of Size And Mass Distribution Of Particulate Matter Due To